「テーマ」
・Scilabによる薄膜解析の検証及び固定用リベット周りの考察
「方針」
Step1:Scilabによる薄板の固有値解析の結果をFreeCAD※1により検証します。
Step2:Scilabによる薄板の変形及び強度解析の結果をFreeCADにより検証します。
Step3:同様の薄板の固定部であるリベット周りの応力を解析し、その疲労強度を推定します。
「想定モデル」
・500x500x0.5mm アルミ薄板
・直径1mの円柱に70m/s(250km/h)の気流が当たるときの風下側の気流がはがれだしているあたりにおける乱流を外力に想定します。
※1 FreeCAD:オープンソースの汎用3D CAD。使い勝手はCATIA V4とV5の中間といった感じです(筆者の感想)。

「Step1」Scilabにより実施した薄板解析の検証
1.1 固有値解析
Scilabの項では500x500x0.5mmを10x10マスに分割し、2Dでの固有値解析を実施しました。
同じ固有値解析をFreeCADを用いて実施しました。その結果をScilab結果と理論値を合わせて以下に示します(理論計算式は巻末に示します)。

FreeCADモデル
・500x500x0.5mm AL
・メッシュ:最大5mm
・4辺拘束
・縦弾性係数:70Gpa
・ポアソン比:0.3
・密度 :2800kg/m3


[1次モード]FreeCAD 17.41Hz;Scilab 17.16Hz;理論値 17.33Hz


[2次モード]FreeCAD 35.63Hz;Scilab 34.91Hz;理論値 35.36Hz


[3次モード]FreeCAD 52.64Hz;Scilab 50.64Hz;理論値 52.16Hz


[4次モード]FreeCAD 63.92Hz;Scilab 62.62Hz;理論値 63.38Hz


[5次モード]FreeCAD 64.40Hz;Scilab 63.00Hz;理論値 63.67Hz
結果、FreeCADの計算結果は理論値と十分一致するものとなっています。
但しここで注意点があります。上記FreeCADの計算結果はモデルのメッシュに強く依存します。例えばFreeCADのデフォルト設定で作成したメッシュを使った場合、固有値解析の結果は以下となり、理論値と大幅に違った固有値となります。
このような結果からFEMの計算結果の取扱いには注意が必要となります。理論計算でオーダー・チェックが出来れば理想なのですが、理論計算の可能な形状は非常に限定されています。このような状況に当事業はFreeCADとScilabのダブルチェックによる簡単で比較的安価な検証を提供致します。





Step2においてはScilabにより実施した薄板の変形及び強度解析の結果をFreeCADを用いて検証してい見ます。
参考値:計算時間
・メッシュ:FreeCADメニューの「非常に細かい」&5mm)で6分
・メッシュ:FreeCADメニューの「デフォルト」で10秒
PC性能:AMD Athlon 3000G 3.5GHz / Memory 16GB
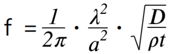
薄板固有値理論計算:(参考文献[1])

λ2=35.99(1次)、73.41(2次)、108.3(3次)、131.6(4次)、132.2(5次)
a:板の1辺の長さ 0.5[m]
D:曲げ剛性 D=Et3/12/(1-ν2)
E:縦弾性係数 70[MPa]
ρ:密度 2800[kg/m3]
t:板厚 0.0005[m]
ν:ポアソン比 0.3
参考文献
[1]機械振動学 岩田佳雄・佐伯暢人・小松崎俊彦 共著 数理工学社
改訂記録
A改訂 2025.3.22:円柱外板位置を後方から前方へ移動
